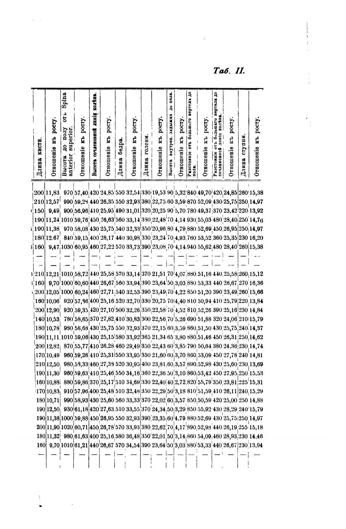
Таб. И.

200 11,83.970 57,40920 24.85550 32,54 330; 19,53 90 5,32840 26015,38

210 12,57' 990 59,28 440 26.35“550 32,93 380 22,7560 52,09 43025,75 250 14.97

9,49 90 5,70 780

190 11,24 1010 59,76450 26,63 560 33, 14'.3S0 22,48 70 4, 930 55,03 480 28,40 250 14,70

11,38 970 58,08 430 25,75 540 80 4,79 880 52,69 250114,97

12.67 840 59,15 400 28,17 ио 30,98 3.30'23,24 53,52 360 25,35 230 16,20

е 160 9,47 1030 60,95 27,22 570 33,73 390 23,08 55,64480 28,40 260 15,38

12,21' 58,72 440 25,58 570 33, 14 370 21,51 70 4,07 51,16 440 25,54260, 15,12

; 160 9,70 1000'60,60 440 26,67660 33,94 390 23,64 880 53,33 440 26,67 270 16,36

200 12,0310 60,24 460 27,71 ,540 23,49' 704,22 85ОЫ,2О 390 15,66

160 10,06

12,90

140 10,53

180 10,78,

190 11,11

170 10,49

210 12,50

190 11,30

920 57,86 25,16 520 32,701330 20,75 7014,40 810 50,94 13,84

920 59,35 420 27,10 5(k) 32,26 350122,58' 70 4,52 810 52,26 390 25,161230 14,84

780 58,65 370 27,82 410 30,83 3-я 22,56 70 5,26 690 51,88 320 24,06 210115,79

980 58,68 430 25,75 550 32,93 370 22,15 430

1010 59,06 430 25,16580 33,92 365 21,34 65 3,80 450 26,31250, 14,62

870 55,77 410 26,28 46029,49 350 22,43 60 3,85190 50,64 380 24.36:230 14,74

25,31'550 33,951350 21,60 60 3,70 860 53,09 450 27,78 240 14,81

27,38 520 30,95 400 89062,98 430 25,60230 13,69

410 25,46 550 34,10360 22,36 503,10 450 15.53

160 10,88i 34,69 330 55,791350 23,81 225 15,31

1170 10,83] 910 57,96 25,48 510 32,48 350 22,29150 3,18 810 51,59 410 26,11 240, 15.29

180 10,71j 58,93 43025,60 560 33,33 370 22,02 60 3,57 850 50,59 250 14,88

190 12,50, 930 61,18 420 33,55370 24,34 50 3,29 850 55.92430 28,29 240' 15,79

190 1000 59,88 450 26,95 550 32,93 4.79 88052,69 4.30 25,75250 14,97

200 11,901020 60,71 450 26,781570 22,62170 4,17 440 26,19 255-15, 18

180 11,321 98061,63 40) 25,16 580 36,48 350'22.Ol 50 3,14 860 54,091460 14,46

160 9,70 1010 61,21 440 26,67 570 34,54 390 23.64 50 3,03 880153,33 44026,67 23013,94