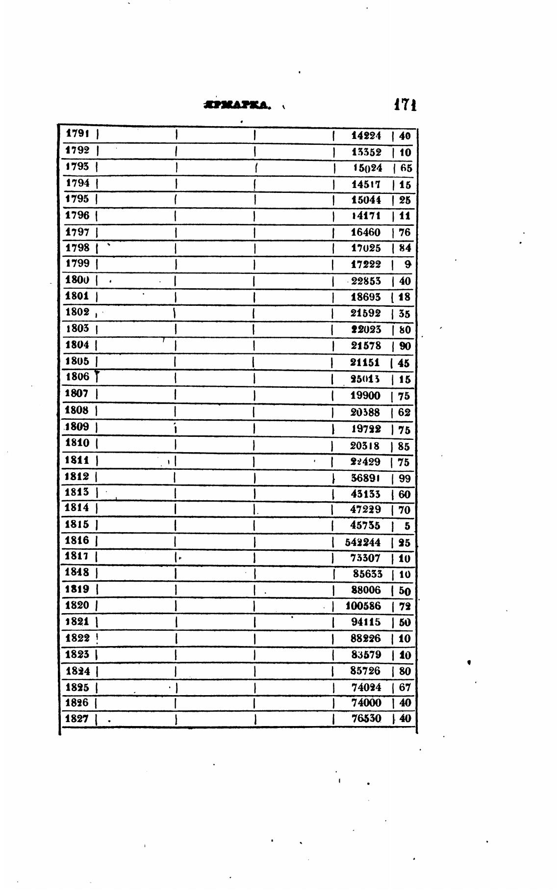
1791

1792

1795

1794

1795

1796

1797

1798

1799

1800

1801

1802

1805

1804

1805

1806

1807

1808

1809

1810

1811

1812

1815

1814

1815

1816

1811

1848

1819

1820

1822

1823

1825

1826

1827

14224

40

15352

10

15024

65

14511

| 15

15044

25

)4171

16460

76

17025

84

17222

9

40

22855

18695

[ 18

21592

55

22025

80

21578

21151

| 45

2501

15

19900

75

20388

62

19792

75

20518

| 85

92429

75

56891 99

45153

| 60

47229

70

45755

542244

95

75507

10

85655

10

88006

50

Т586

72

94115

50

88226

10

83579

10

85726

[ 80

74024

67

40

76530

40