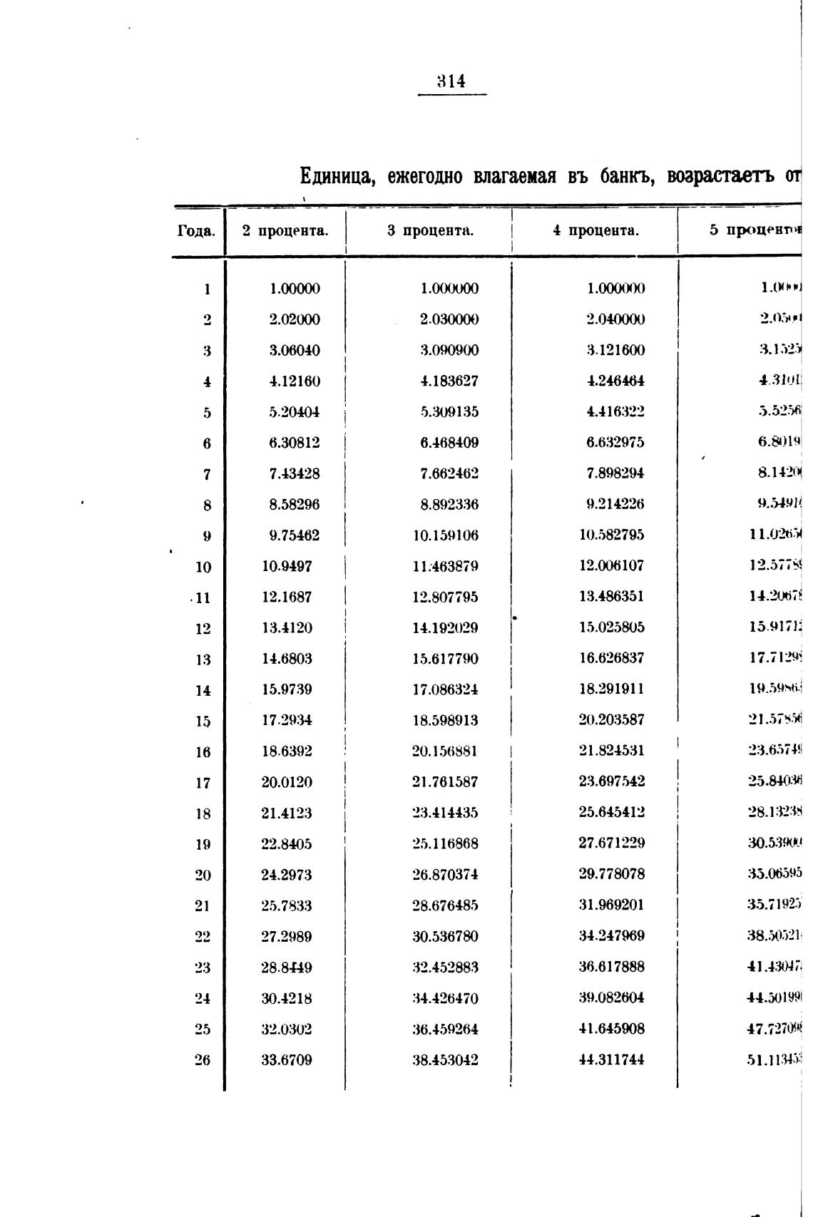
314

ежегодно влагаемая

Года.

З

4

5

6

7

8

9

10

12

13

14

15

16

17

18

19

20

21

23

24

25

26

Единица,

2 процента.

2.02(0

3.06040

4.12160

5.20404

6.30812

7.43428

8.58296

9.75462

10.9497

12.1687

13.4120

14.6803

15.9739

17.29.34

18.6392

20.0120

21.4123

22.8405

24.2973

25.7833

27.2989

28.8449

30.4218

32.0302

33.6709

З процента.

1 .(ЯАКТ

2.cmm

.з.0909(Ю

4.183627

5.309135

6.468409

7.662462

8.892336

10.159106

12.807795

14.192029

15.617790

17.086324

20.156881

21.761587

23.414435

25.116868

26.870374

28.676485

30.536780

32.452883

34.426470

36.459264

38.453042

4

въ банкъ,

щюцента.

1 .ош»о

3.1216(Ю

4.246464

6.632975

7.898294

9.214226

10.582795

1206107

13.486351

15.025805

16.626837

20.203587

21.824531

23.697542

25.645412

27.671229

29.77Ю78

31.969201

34.247969

36.617888

39.082604

41.645M)8

44.311744

возрастаетљ

5 щи»центт

4..звл;

5.5256

12.577S\

15.9171±

17.7129±

23.65749

2584(Вђ

28.13238

30.5.30!

.Њ5.(Њ595

35.71923

.З8.Я.Ђ21'

44.50199

47.727.»

51.ll.34.b?