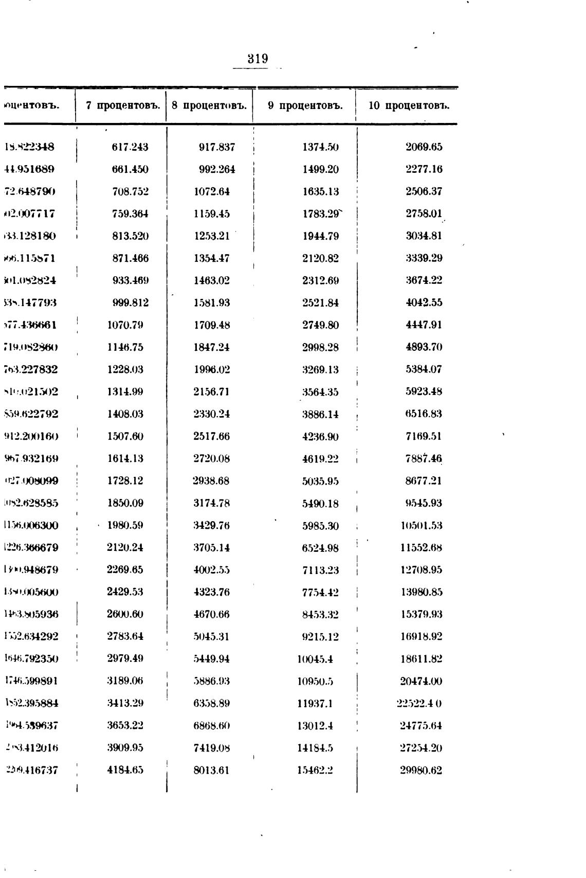
319

оцентовъ.

18.82•2348

44.951689

72 5487Y'

„2.107717

.M.128180

Ю1.ов2824

в-.147793

Й 7.4.'ИЫ

; 19.0S2S60

-,ев.227832

S9.tf22792

912.21k'16()

.9321ti9

з „2.628585

[26.366679

1 у. ,.948679

1.58

14Ь3.М'5936

1746.599891

1ЪА.В96.З7

-'N.41201ti

28.416737

7 процентовъ.

617.243

661.450

708.752

759.364

813.520

871.466

93.3.469

999.812

1070.79

1146.75

1228.03

l.314.99

14О8.ОЗ

1507.60

1614.13

1728.12

1850.09

1980.59

2120.24

2269.65

2429.53

2600.60

2783.64

2979.49

3189.(Hi

3413.29

3653.22

.3Ж)9.95

4184.65

8 процентовъ.

917.837

992.264

1072.64

1159.45

12.53.21

1354.47

1463.02

1581.93

1847.24

2156.71

2.330.24

2517.66

2720.08

2938.68

3174.78

3429.76

3705.14

02.55

4323.76

4670.66

5045.31

5449.94

5886.93

6358.89

6868.60

7419.08

8013.61

9 процентовъ.

1374.50

1499.20

16.35.13

178.3.'29*

1944.79

2120.82

2312.69

2521.84

2749.80

2998.28

3269.l.3

.3Я4.35

3886.14

4236.{Ю

4619.22

5035.95

.5W).18

5985.30

6524.98

7113.23

7754.42

8453.32

9215.12

1(Ю45.4

10950.5

11937.l

l.3012.4

141S4.5

15462.2

10 процентовъ.

2069.65

2277.16

2Я6.37

2758.01

3034.81

3339.29

3674.22

4042.55

4447.91

4893.70

5384.07

5923.48

6516.83

7169.51

7887.46

8677.21

9545.93

10.501.5.3

11552.68

12708.95

13980.85

15379.93

16918.92

18611.82

20474.0()

22522.4

24775.64

27254.20

29980.62