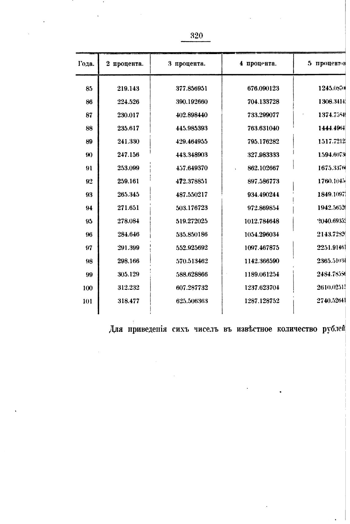
Года.

85

86

87

88

89

91

92

93

94

95

96

97

98

99

101

2 процента.

219.143

224.526

230.017

235.617

241.330

247.156

253.099

259.161

265.345

271.651

278.084

284.646

291.399

298.166

305.129

312.232

318.477

Для приведе1йя

320

З процента.

377.856951

.мю. 192660

402.898440

445.985393

429.464955

из.348М)3

457.649370

472.378851

487.550217

яв.176723

519.272025

535.850186

552.925692

570.513462

588.628866

607.287732

625.506363

4 процента.

676.(Т123

704.133728

73.3.2077

763.631040

795.176282

327.9833.3.3

862.102667

897.586773

934.4W24'

972.869854

1012.784648

1054.296034

1097.467875

1142.3665W

1189.061254

1237.623704

1287.128752

5 процентн

1308.3414

1374.7584

1517.721•

1594.607

1675.337

1760.104.•;

1849.1097t

2040.69'

2143.7252(

2365.51tr

2484.785

2610.0251i

2740.5264

сихъ чиселъ въ извТ,стное количество рубле